压电陶瓷管扫描器 探针扫描 芯明天科技
压电陶瓷管扫描器 探针扫描 芯明天科技
产品价格:(人民币)
  • 规格:完善
  • 发货地:黑龙江哈尔滨市
  • 品牌:
  • 最小起订量:1支
  • 免费会员
    会员级别:试用会员
    认证类型:企业认证
    企业证件:通过认证

    商铺名称:哈尔滨芯明天科技有限公司

    联系人:杨经理(先生)

    联系手机:

    固定电话:

    企业邮箱:info@coremorrow.com

    联系地址:哈尔滨市南岗区汉广街41号金华大厦6层

    邮编:150080

    联系我时,请说是在口碑仪器网上看到的,谢谢!

    商品详情
      压电陶瓷管扫描器是径向极化压电材料的薄圆管体,具有四个外部电极和连续的内部电极。 当电压施加到外部电极之一时,相应区域的致动器管壁膨胀,这引起管尖的垂直收缩和大的横向偏转。 圆周电极可用于垂直或径向伸展和收缩。

      压电管扫描仪广泛用于扫描探针显微镜、光纤拉伸和光束扫描等应用。可根据要求提供定制尺寸、规格。

      驱动方式与位移计算:

      当压电陶瓷管的底端基部固定后,尖端扫描的位移Δx和Δy的估算公式如下:



       其中Δx与Δy分别为x轴和y轴的位移,d31为压电形变常数,L为陶瓷管的长度,D为陶瓷管的外径,h为陶瓷管的壁厚,Vx与Vy是施加的电压。
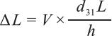
      由于施加在所有四个外部电极或内部电极上的电压引起的垂直伸长位移,估算公式如下:


      由于施加在所有四个外部电极或内部电极上的电压引起的直径的膨胀位移,估算公式如下:



      可通过给内部和外部电极施加相反电压,可以使垂直和径向的扩展范围加倍。

    0571-87774297